إرشادات مقترحات البحث معلومات خط الزمن الفهارس الخرائط الصور الوثائق الأقسام

مقاتل من الصحراء
Home Page / الأقســام / موضوعات علمية / البترول: معامل التكرير





وحدة نزع الأملاح بالكهرباء
وحدة تثبيت نموذجية
مخطط وحدة إزالة الاستحلاب
مخطط أرصفة الشحن
مخطط عملية إزالة الاستحلاب
معدات الاصطياد
معدات خزان المنتجات الغامقة
معدات خزان المنتجات الفاتحة
الوعاء الكروي لنزع الماء بالكهرباء
المسح السيزمي "الاهتزازي"
التقطير الابتدائي "الجوي"
التقطير تحت ضغط مخلخل
الخزان المغطى
الخزان الكروي
الخزان ذي السقف المتحرك
الخزانات الأسطوانية الأفقية
الفالق "الانكسار"
القبة الملحية
برج الحفر
تركيب مصيدة البترول
تكوين قبوي تقوس
جهاز نزع الماء بالكهرباء
خزان ذو سقف متنفس




المقدمة

ثالثاً: تصنيف البترول ومعالجته

1. تصنيف خام البترول

لنظام تصنيف البترول أهمية كبيرة، إذ يسمح بتحديد اتجاه تكرير البترول، وقائمة أنواع المنتجات وجودتها.

ويتخذ التركيب الأيدروكربوني أساسًا للتصنيف الكيميائي للبترول، فبعض أنواع الخام تحتوي على نسب عالية من البارافينات، ومنها الشموع البارافينية الصلبة، وأنواع أخرى تحتوي على النفثينات. وبالتالي فالمنتجات غير القابلة للتقطير "المتبقي" تختلف من خام إلى خام آخر.

ويصنف البترول الخام بطريقة عامة إلى ثلاثة أصناف:

·   البترول ذو الأساس البارافيني: يحتوي على الشموع البارافينية، وقد يحتوي على كميات ضئيلة من المواد الأسفلتية، ويحتوي عمومًا على الأيدروكربونات البارافينية، وغالبًا ما يعطي كميات جيدة من الشمع البارافيني وزيوت التزييت عالية الجودة.

·   البترول ذو الأساس الإسفلتي: يحتوي على المواد الإسفلتية بكميات كبيرة، أما الشمع البارافيني فلا يتوفر أو يتوفر بكمية ضئيلة، الأيدروكربونات تكون غالبًا من النوع النفثيني "الحلقي". وتحتاج زيوت التزييت المنتجة من هذا الخام إلى نوع من المعالجة لتكون في كفاءة الزيوت المنتجة من الخامات ذات الأساس البارافيني.

·   الخام ذو الأساس المختلط: يحتوي على كل من الشمع البارفيني وكذلك المواد الإسفلتية بالتساوي، وبه الأيدروكربونات البارفينية والنفثينية، وكذلك بعض النسب من الأيدروكربونات الأروماتية.

أ. الخواص الفيزيائية للبترول ومنتجاته

عرفنا أن البترول هو خليط معقد من المركبات الأيدروكربونية؛ ولذلك فإن الخواص الفيزيائية التي يتم تعيينها هي في الواقع متوسطات للقيم المفردة لهذه المركبات.

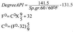
(1) الوزن النوعي النسبي ودرجة API

يعدّ الوزن النوعي والكثافة من أهم الخصائص المستخدمة عند دراسة البترول والمنتجات البترولية. ولهاتين الخاصيتين أهمية خاصة عند حساب وزن  المنتجات البترولية وكتلتها في الحالات التي يعين فيها حجم هذه المنتجات بالقياس المباشر.

ويطلق اصطلاح الوزن النوعي للسائل أو الغاز،على وزن وحدة حجمه، ويطلق اصطلاح كثافة السائل أو الغاز، على كمية المادة الموجودة في وحدة الحجم، ولتعيين الوزن النوعي لمادة ما، يجب قسمة وزن جسم منها G على حجمه V: G/V.

ولتعيين كثافة مادة ما، يجب قسمة كتلة جسم منها  m على حجمه V

أما الوزن النوعي النسبي "الكثافة النسبية"، فهي كمية غير مميزة، وتساوي نسبة كثافة المادة المختبرة إلى كثافة الماء النقي عند درجات الحرارة القياسية "+4م للماء و+ 20م للمنتجات البترولية" ويرمز له بالرمز d420 والكثافة النسبية والوزن النوعي النسبي كميتان متساويتان عدديّا. وتقاس كثافة الماء عند درجة 4°م، إذ أن أعلى كثافة للماء تكون عند هذه الدرجة. وهناك طريقة أخرى للتعبير عن كثافة السوائل وهي درجة American Petroleum Institute API.

وهي مقلوب الوزن النوعي النسبي، ويعبّر عنها بالعلاقة التالية:

وتعين كثافة المنتجات البترولية بواسطة الهيدروميتر أو بالميزان الأيدروستاتي، وكذلك بواسطة قنينة الكثافة.

وتقل كثافة المنتجات البترولية بارتفاع درجة الحرارة. كذلك هناك تأثير بسيط للضغط على كثافة السوائل. وهناك جداول شاملة تبين تغير الكثافة أو الوزن النوعي مع التغير في درجة الحرارة والضغط.

ودرجة API تبدأ غالبًا من 10 إلى 50 API، ولكن لمعظم أنواع خام البترول تنحصر القيمة بين 20 إلى 45 API.

وتستخدم قيم الكثافة والوزن النوعي مرشدًا لمعرفة التركيب الكيميائي للخام، فعمومًا الأيدروكربونات البارافينية تكون كثافتها قليلة، والأيدروكربونات النفيثينية والأوليفينية لها كثافات متوسطة، أمّا الأيدروكربونات الأروماتيه فلها قيم كبيرة للكثافة.

(2) اللزوجة "الاحتكاك الداخلي للسائل"

"وهي مقاومة السائل لإزاحة إحدى طبقاته بالنسبة لطبقة أخرى تحت تأثير قوة خارجية"، ويتم التمييز بين اللزوجة الدينامية والكينماتية والنسبية.

اللزوجة الدينامية (n) وتقاس بالباسكال ثانية (Pa. s).

واللزوجة الكينماتية (v) وهي النسبة بين اللزوجة الدينامية والكثافة النسبية للسائل d عند  درجة الحرارة نفسها، وتقاس بالمتر المربع على الثانية.

اللزوجة النسبية هي النسبة بين زمن تدفق 200 ملل من المنتج البترولي عند درجة حرارة الاختبار، وبين زمن تدفق حجم الماء المقطر نفسه عند درجة 20°م.

مقياس اللزوجة البسيط Simple Viscometer

·       يتم تعيين الزمن الذي يأخذه السائل من الانتفاخ 1للوصول إلى الانتفاخ 2 من خلال الأنبوبة C.

·   تتغير لزوجة المنتجات البترولية مع التغير في درجة الحرارة، فتقل بارتفاع درجة الحرارة، وتزداد بانخفاضها. وبالنسبة لزيوت التزييت، لابد من تعيين التغير في اللزوجة خلال معدل درجات التشغيل العادية.

ومن هذه الطرق دليل اصطلاحي افتراضي يطلق عليه اسم دليل اللزوجة Viscosity Index (VI)، ويعين بواسطة مخططات بيانية خاصة، على أساس معرفة مقدار اللزوجة عند 100°م، 50°م؛ وذلك لزيوت قياسية، والمقارنة بينها حيث يعطي الزيت الذي تتأثر لزوجته تأثرًا كبيرًا بالتغير في درجة الحرارة VI = صفر، أمّا الزيت الذي له خواص لزوجة جيدة وذلك بتغير الحرارة بين هاتين الدرجتين فيعطي VI = 100. وتقارن زيوت التزييت بهذا الدليل. فدليل اللزوجة العالي القيمة يدل على زيت تتأثر لزوجته تأثرًا طفيفًا مع التغير في درجة الحرارة.

(3) الوزن الجزيئي

يتوقف الوزن الجزيئي للبترول والقطفات البترولية على الوزن الجزيئي للمركبات الداخلة فيها وعلى النسبة بينها. وغالبًا ما تراوح للخام من 250 إلى 300. ويزداد الوزن الجزيئي للقطفات البترولية بارتفاع درجة غليانها. والتركيب الأيدروكربوني للقطفات المتماثلة من الأنواع المختلفة للبترول مختلف، ونتيجة لذلك تكون أوزانها الجزيئية غير متساوية.

وعند درجات الغليان نفسها، تتميز قطفات الأنواع البارافينية من البترول بأكبر وزن جزيئي، وقطفات الأنواع النفثينية الأروماتية بأقل وزن جزيئي، وتشغل قطفات البترول ذات القاعدة النفثينية مكانًا وسطًا.

(4) درجة الوميض والاشتعال والاشتعال الذاتي

يحكم على قابلية المنتجات البترولية الخفيفة للاشتعال "الالتهابية inflammability" بدرجة وميضها.

يطلق اسم درجة الوميض flash point على درجة الحرارة التي تومض عندها أبخرة المنتج البترولي المسخن في ظروف محددة عند تقريب لهب منها.

وتتميز درجة الوميض بأن اللهب ينطفئ في الحال. وإذا رفعت بعد ذلك درجة حرارة السائل، فعند الوصول إلى درجة حرارة معينة، وتقريب اللهب، تشتغل الأبخرة مرة أخرى، ولكنها لا تنطفئ. ويطلق على درجة الحرارة هذه "درجة الاشتعال للمنتجات" Ignition point ودرجة الاشتعال أعلى دائما من درجة الوميض.

ولكي يتم وميض الأبخرة القابلة للاشتعال، يجب أن تقع نسبة تركيزها في الهواء في حدود معينة، ويفرق بين الحد الأعلى والحد الأدنى لتركيز الأبخرة. والحد الأدنى هو أقل نسبة لتركيز الأبخرة في الهواء يلاحظ عندها الوميض عند تقريب اللهب، أما الحد الأعلى فهو تلك القيمة لتركيز الأبخرة التي لا يحدث الوميض بعدها لعدم كفاية الأكسجين. والحد الأدنى لتركيز الأبخرة البترولية هو الذي يؤخذ في الاعتبار عند تعيين درجة الوميض. وكلما خف المنتج البترولي كانت هذه الدرجة أقل. فدرجة وميض الجازولين أقل من صفر، والكيروسين 30 - 50°م، ووقود الديزل المختلف الأنواع من 30 إلى 90°م، وزيوت التزييت من 130 إلى 320°م.

ويحكم في الظروف الصناعية على وجود القطفات الخفيفة في المنتجات بدرجة الوميض، فتدل مثلاً درجة الوميض المنخفضة للمازوت، المتبقي بعد تقطير البترول، على أن المنتجات البترولية الخفيفة لم تفصل جيدًا منه.

وعلاوة على درجة الوميض ودرجة الاشتعال اللتين يجري عند تعيينهما اشتعال الأبخرة البترولية بتقريب لهب إليها، تعرف أيضًا ظاهرة "الاشتعال الذاتي" Self Ignition، أي الظاهرة التي يجري عندها اشتعال المنتج المسخن عند التلامس مع الهواء بدون تقريب اللهب إليه. ويطلق اسم درجة الاشتعال الذاتي "العفوي" على درجة الحرارة التي عندها يشتعل المنتج البترولي ذاتيًا عند ملامسة الهواء. وتعتمد درجة الاشتعال الذاتي على ثبات المنتج لتأثير الأكسجين. وأكثر المنتجات تعرضًا للاشتعال الذاتي هي متبقيات تكرير البترول الثقيلة "القار والسناج وغيرها". فدرجة الاشتعال الذاتي للمنتجات البترولية المنخفضة الغليان أعلى من درجة الاشتعال الذاتي للمنتجات العالية الغليان. وتبلغ درجة الاشتعال الذاتي للمتبقيات البترولية 300°م - 350°م ، وللكيروسن أعلى من 400°م ، وللجازولين أعلى من 500°م.

أما درجة وميض الجازولين، فهي أقل من - 18°م م، معنى ذلك أنه في درجات الحرارة العادية يكون تركيز بخار الجازولين أعلى بكثير من تركيز الهواء في حيز مغلق، وبالتالي لن يشتعل الجازولين. أمّا المنتجات البترولية التي تتراوح درجة وميضها بين 30 و60°م، فيجب الاحتياط من خطورة اشتعالها، حيث إنه في خلال هذا المدى من درجات الحرارة يتم إنتاج هذه المنتجات ونقلها وتخزينها.

(5) معامل الانكسار

تتغير سرعة الأشعة الضوئية واتجاهها عند انتقالها من وسط إلى آخر، وتسمى هذه الظاهرة بـ "انكسار الشعاع". ويطلق اسم "معامل الانكسار" على النسبة بين زاوية سقوط الشعاع وزاوية الانكسار. ويدخل في تركيب البترول والمنتجات البترولية طوائف أيدروكربونية مختلفة ذات معاملات مختلفة للانكسار. فأيدروكربونات السلسلة البارافينية ذات معامل انكسار قليل يليها الأيدروكربونات النفثينية ثم الأروماتية، ويزداد معامل الانكسار بازدياد الوزن الجزيئي للأيدروكربونات. ويستخدم جهاز خاص لتعيين معامل الانكسار يطلق عليه اسم "مقياس انكسار الأشعة" (refract meter).

2. معالجة البترول

يصاحب البترول أثناء خروجه من البئر غازات وأملاح ومياه وشوائب ميكانيكية "رمال وطين"، ولذا يجب فصل هذه الأشياء جزئيًا في الحقل، وكلياً بعد ذلك في معمل التكرير.

ويتم فصل الغازات المصاحبة في حقول البترول في أجهزة خاصة "مصايد"، ثم تدفع إلى وحدة الجازولين لفصل المكثفات الخفيفة، التي تكون غالبًا مصاحبه للغازات، والتي يتم فصلها بتكثيفها وتسمى "الجازولين الطبيعي". ثم يدفع الخام بعد ذلك إلى مستودعات ترسيب، حيث يتم فصل الشوائب الميكانيكية بالترسيب. بعد ذلك يتم نزع الأملاح من البترول عن طريق غسل الأملاح بالماء العذب، ثم ينزع الماء بعد ذلك من البترول. ويعالج البترول المحتوي على نسبة كبيرة من الأملاح بواسطة 10 – 15% من الماء مرتين أو ثلاث مرات. ويفصل الماء من البترول في بعض الأحيان بسهولة نسبيًا. ولكن غالبًا ما يكون مستحلبات ثابتة مع البترول صعبة الفصل، خصوصًا خلال عمليات الضخ والنقل في أنابيب بسرعة كبيرة مما يصعب التخلص منه.

أ. إعداد البترول للتكرير

(1) طرد الغازات وتثبيت البترول في الحقول

إنّ الغاز الذي يصاحب البترول أثناء خروجه من البئر، يجب فصله عن البترول. ويتم هذا الفصل في حقول البترول في أجهزة خاصة "مصايد"، وذلك بواسطة خفض سرعة حركة مخلوط البترول والغاز. وتستخدم طريقة فصل الغاز على عدة مراحل في حالة وجود ضغط عال في البئر.

ولا يكفي فصل الغاز فقط من البترول، إذ  يتبقى بعد الفصل كثير من القطفات الخفيفة التي قد تتبخر أثناء التخزين في المستودعات وصب البترول في الصهاريج... إلـخ. ولذلك فمن المستحسن تثبيت البترول في الحقول، وخاصة إذا كان البترول المستخرج يحتوي على كثير من القطفات الخفيفة، ويراد نقله لمسافات بعيدة.

ويتلخص تثبيت البترول في فصل القطفات الخفيفة والغازات الذائبة عن الخام. وتوجه لهذا الغرض أبخرة القطفات الخفيفة والغاز بعد مرورها خلال مكثف إلى فاصل الغاز gas separator، حيث يفصل الغاز ويدفع بواسطة مضخة إلى شبكة الغاز أو إلى مصانع معالجة الغاز. ويوجه البترول المثبت إلى المصانع للتكرير. (اُنظر شكل وحدة تثبيت نموذجية)

يدفع البترول المنزوع منه الماء والذي لا يحتوي على أكثر من 2% من الماء إلى مبادلات حرارية حيث يسخن بواسطة البترول المثبت، ثم يمر في مجموعة مبادلات حرارية مسخنة بالبخار. ويدخل البترول بعد تسخينه إلى درجة 90°م في المثبت الذي يعمل تحت ضغط 1.5 ضغط جوي، والمزود بمسخن بخاري reboiler يعمل على تثبيت درجة الحرارة عند 110°م. ويدفع البترول المثبت في مبادلات حرارية حيث يبرد على حساب تسخين البترول الخام غير المثبت، ثم يجمع بعد ذلك في خزان. ويمر مخلوط البخار والغاز الخارج من المثبت خلال مكثف وفاصل. وتوجه الغازات الخارجة من الفاصل للمعالجة أو تدخل في شبكة جمع الغاز. أما المتكثف فيجمع في سعة حيث يدفع جزء منه إلى القسم العلوي للمثبت كرجع.

(2) نزع الماء والأملاح من البترول

إن الماء والشوائب الميكانيكية "الأملاح والرمل والطين" تصاحب البترول دائمًا أثناء استخراجه. ويفصل الماء من البترول في بعض الأحوال بسهولة نسبية، ولكنه يكون مستحلبات ثابتة مع البترول في البعض الآخر.

ويجب أن يخضع البترول الذي يحصل عليه على صورة مستحلب، لمعالجة خاصة معقدة نسبياً لفصله عن الماء والشوائب الميكانيكية، حيث إن تكرير البترول ذو الشوائب يعقد تشغيل الوحدات الصناعية إلى حد كبير. فإذا سخن مثلاً بترول يحتوي على شوائب ميكانيكية في مبادل حراري، فإن هذه الشوائب تترسب على سطح التسخين؛ مما يؤدي إلى خفض كفاية المبادل الحراري، وأثناء مرور البترول في الأنابيب بسرعات كبيرة يكون للجسيمات الصلبة تأثير المواد الحاكة، أي أنها تحك في الأجهزة فتبليها قبل الأوان. ويؤدي بقاء الشوائب الميكانيكية في المتبقيات البترولية بعد التقطير، إلى خفض جودة هذه المتبقيات وزيادة نسبة الرماد فيها (وقود الغلايات والكوك)، وإلى عدم إمكانية الحصول على منتجات مطابقة للمواصفات.

ويتبخر بشدة الماء الداخل مع البترول في أجهزة التسخين، فيزداد حجمه زيادة بالغة، مما يؤدي إلى رفع الضغط  في الأجهزة والإخلال بالمعدلات التشغيلية التقنية للوحدة. ويحتوي الماء الموجود في البترول على كمية كبيرة من الأملاح. وتتوفر هذه الأملاح بصورة أساسية على هيئة كلوريدات NaCl,MgCl2, CaCl2، ويتكون حمض الأيدروكلوريك من تحلل كلوريد الكالسيوم وخاصة كلوريد المغنسيوم أثناء عملية التقطير، ويحت هذا الحمض الأجهزة بشدة.

ويتضح مما سبق أن البترول بعد الحصول عليه من الآبار، يجب أن يخضع لمعالجة إعدادية لتوفير درجة نقاوته المطلوبة.

(3) المستحلبات البترولية

هناك نوعان من المستحلبات البترولية: "الماء في البترول"، مستحلبات أيدروفوبية hydorphobic، و"البترول في الماء"، مستحلبات ايدروفيلية  hydrophilic.

ومستحلبات النوع الأول أكثر انتشاراً من النوع الثاني. وفي مستحلبات النوع الأول يوجد الماء في البترول على صورة كمية لا حصر لها من القطرات المتناهية في الصغر. أما في مستحلبات النوع الثاني فيكون البترول على صورة قطرات مفردة معلقة في الماء.

وتتلخص عملية تكوين المستحلبات في الآتي: على الحد الفاصل بين سائلين لا يختلط بعضهما ببعض، وأحدهما مشتت في الآخر على صورة جسيمات صغيرة جداً، تتراكم مادة ثالثة ضرورية لتكوين المستحلب وتسمى بالعامل المستحلب أو مثبت المستحلب. ويذوب العامل المستحلب في أحد السائلين مكوّناً ما يشبه الغشاء. ويحجب هذا الغشاء قطرات المادة المشتتة ويمنع اندماجها. وهذه العوامل المستحلبة في البترول هي الراتنجات والأسفلتينات وصابون الأحماض النفثية والأملاح. وعلاوة على المواد المذكورة، تؤثر الشوائب الصلبة المختلفة المشتتة في أحد الأطوار على ثبات المستحلب.

والعوامل المستحلبة إما أيدروفيلية أو أيدروفوبية. وتُعدّ المواد الراتنجية الأسفلتية والأحماض النفثية الموجودة في البترول مركّبات طبيعية وعوامل مستحلبة أيدروفوبية. أما الصوابين الصوديومية والبوتاسيومية التي تتكوّن أساساً من تفاعل الأحماض النفثية الموجودة في البترول مع أملاح المعادن الذائبة في ماء الحفر، فهي عوامل مستحلبة أيدروفيلية. وتتمتع نفثينات Ca, A1, Fe. Mg بخواص أيدروفوبية. والمعلقات الصلبة عديمة النشاط السطحي، إلا أن تراكمها على السطح البيني interface، بين البترول والماء يجعل الغشاء أكثر متانة والمستحلب أكثر ثباتًا. ويعتمد تكون المستحلبات من النوعين المذكورين أعلاه على وجود هذا النوع أو ذلك من العوامل المستحلبة والمثبتة.

ويكون المستحلب المتكون من خلط الماء والبترول ذا طابع "بترول في الماء" إذا كان المثبت يذوب في الماء. أما إذا كان المثبت يذوب في الوسط الأيدروكربوني فيتكون المستحلب من نوع "ماء في البترول".

(4) الطرق الصناعية لإزالة استحلاب البترول

هناك نوعان من المستحلبات البترولية "الماء في البترول" و"البترول في الماء"، يتضح مما تقدم أن سبب ثبات المستحلب البترولي يكمن في وجود غشاء متين واق على سطح القطرات. ويتلخص هدم المستحلبات في تحطيم الأغشية التي تمنع اندماج القطرات، والسبب الآخر لثبات المستحلبات هو تراكم شحنات الكهرباء الإستاتيكية على سطح قطرات الماء والمعلقات الصلبة. فتحت تأثير شحنات الكهرباء الإستاتيكية يحدث تنافر متبادل يمنع اندماج قطرات الماء. تتلخص عملية إزالة الاستحلاب في تحطيم المستحلب. وفي أغلب الأحوال، يمكن تقسيم هذه العملية إلى مرحلتين:

·       تحطيم الأغشية الواقية واندماج قطرات الماء المعلقة إلى الحجم الذي يسمح بترسبها فيما بعد.

·       ترسب القطرات الموحدة وفصل الماء عن البترول.

ويُزال استحلاب البترول في الظروف الصناعية تحت تأثير المواد المانعة للاستحلاب ودرجات الحرارة والمجال الكهربائي، كما يمكن استخدام التأثير المشترك لهذه العوامل. وهناك أيضًا طرق أخرى لتحطيم المستحلبات، مثل الطرد المركزي "الترشيح" واستخدام الإلكتروليتات. ولا تستخدم هذه الطرق على نطاق واسع؛ نظراً لقلة فعاليتها أو لصعوبة تحقيقها.

وتُزال الاستحلابات بالطرق الآتية:

(أ) الطرق الميكانيكية

وتتم بالترويق أو الطرد المركزي أو الترشيح، ولكن لا تستخدم هذه الطرق على نطاق واسع.

(ب) الطرق الحرارية

تتم بتسخين المستحلب، وخلال ذلك تتمدد الطبقة المثبتة للمستحلب، وتتكسر، وبالتالي تتجمع قطرات الماء وتندمج. وتتلخص الطريقة الحرارية لنزع الماء في تسخين البترول وترويقه في الخزانات. وتستخدم هذه الطريقة لمعالجة المستحلبات غير الثابتة فقط، وهي تؤدي إلى فقد كمية كبيرة من قطفات البترول الخفيفة في حالة الإحكام غير الكافي.

(ج) الطرق الكيميائية

باستخدام مواد كيميائية مانعة للاستحلاب تكون رخيصة وذات فعالية كافية، وهذه المواد تضعف الغشاء المغلف لقطرات الماء.

(د) الطرق الكيميائية الحرارية

وفيها تستخدم مواد كيمائية مانعة للاستحلاب، وذلك خلال عملية تسخين المستحلب البترولي. ويمكن استخدام الطريقة الكيميائية الحرارية لإزالة الاستحلاب بنجاح، إذا وجدت مادة مانعة للاستحلاب تكون رخيصة وذات فعالية كافية، ويسهل الحصول عليها ونقلها، ولا تسبب التحات الكيميائي للأجهزة. كما يجب، علاوة على ذلك، أن تختلط المادة المانعة للاستحلاب بالسائل الذي توضع فيه، لكي تستطيع أن تتفاعل بسهولة مع الغشاء الواقي لقطرات الماء.

وتتم الطريقة الكيميائية الحرارية لإزالة الاستحلاب كالآتي:

يخلط المستحلب البترولي مع المادة المانعة للاستحلاب مباشرة، في مضخة طاردة مركزية، تضخ الخام إلى وحدة إزالة الاستحلاب. وتدفع المادة المانعة للاستحلاب بواسطة مضخات مجزئة إلى خط سحب مضخات الخام. ويسخن المخلوط في مبادلات حرارية أو في فرن أنبوبي بواسطة البخار، أو تيار من المنتج البترولي الساخن، أو بواسطة النار إلى درجة 70 - 75°م. ويؤدي التلامس بين المادة المانعة للاستحلاب وبين المستحلب، أثناء تحركهما في الأنابيب، إلى تحطيم الأغشية الواقية. ويدخل المستحلب المحطم بعد ذلك في وعاء نزع الماء أو في خزان حيث يفصل الماء عن البترول. (اُنظر شكل مخطط عملية إزالة الاستحلاب).

وعيوب الطريقة المذكورة لإزالة الاستحلاب هي:

·           استهلاك كمية كبيرة من المواد المانعة للاستحلاب.

·       فقد قطفات البنزين الخفيفة.

·       ضرورة استخدام عدد كبير من الخزانات.

·       تلويث المياه الصناعية المستهلكة بأملاح السلفا... إلخ.

وللإقلال من زمن الترويق واستهلاك المادة المانعة للاستحلاب، يدفع المستحلب في مستودع به وسادة من الماء المفصول من المستحلب، والذي يحتوي على كمية من المادة المانعة للاستحلاب.

وقد انتشر استخدام طريقة كيميائية حرارية أكثر تطوراً لنزع الماء من البترول، وهي تسمح بالإقلال من الفاقد. ويتم الترويق في هذه الطريقة في أجهزة محكمة (أوعية خاصة لنزع الماء تعمل تحت الضغط).

ويسخن البترول الاستحلابي في حالة الترويق في أجهزة محكمة إلى درجة 150 – 155°م في مبادلات حرارية أو في أفران، ثم يدخل بعد ذلك في أوعية نزع الماء حيث يحفظ الضغط مساوياً لـ 8 ضغط جوي.

ويتم في أوعية نزع الماء انفصال البترول عن الماء وإبعاد الأخير. ويمر البترول المنزوع منه الماء خلال مبادلات حرارية حيث يبرد إلى درجة 80 - 90°م بواسطة تيار مضاد من البترول الاستحلابي البارد. وتستخدم هذه الطريقة الكيميائية الحرارية المطورة لإزالة استحلاب البترول، عند تحطيم المستحلبات الثابتة للخامات البترولية الثقيلة.

(هـ) الطرق الكهربية

وتطبق حاليًا على نطاق واسع لنزع الماء والأملاح من البترول. وفي هذه الطريقة يؤثر في المستحلب مجال كهربائي ذو جهد عال وتردد صناعي، فتتحرك قطرات الماء المشحونة تحت تأثير هذا المجال وتتجه إلى الإلكترودات. ويتغير اتجاه حركة القطرات مع تردد المجال، الأمر الذي يؤدي إلى تصادم القطرات بالإلكترودات مما يساعد على اندماجها. (اُنظر شكل مخطط وحدة إزالة الاستحلاب)

يسحب المستحلب من خزان الخام 1، بواسطة المضخة 2، ويدفع إلى المبادل الحراري 3، حيث يسخن بالبخار "أو إلى فرن أنبوبي حيث يتم التسخين بواسطة النار" ثم يدخل في أوعية نزع الماء بالكهرباء 4، وتعمل هذه الأوعية على التوازي. ويحدد عدد أوعية نزع الماء بالكهرباء وفقًا لإنتاجية الوحدة. ويصرف الماء المفصول في أوعية نزع الماء بالكهرباء إلى مجاري التصريف عن طريق خط التصريف. ويدخل البترول المفصول عن الماء  وعاء الترويق الإضافي 5، ثم في المستودع 6.

ويوضح (شكل جهاز نزع الماء بالكهرباء). وهذا الجهاز وعاء أسطواني رأسي تعلق فيه الإلكترودات أفقياً على عوازل خزفية. وتتكون هذه الإلكترودات من حلقات من الصلب متحدة المركز. ويمكن عند الضرورة تغيير المسافة بين الإلكترودات.

ويدخل المستحلب الساخن خلال الأنابيب ويتجه خلال رأس التوزيع إلى الفراغ بين الإلكترودات حيث يتم تحطيم المستحلب.

وتنظم التغذية بالمستحلب عن طريق تغيير الخلوص رأس التوزيع بواسطة ساحب معدني موضوع خارج وعاء نزع الماء.

وتتصل الإلكترودات بالملفات الثانوية لمحول موضوع على سقف الجهاز بواسطة سلك خلال مادة عازلة. ويصرف الماء المفصول عن البترول عن طريق أنبوبة، ويصفى البترول في الجزء العلوي من الجهاز ويسحب خلال أنبوب استصفاء بواسطة منظم أتوماتي بعوامة. ويتصل المنظم ذو العوامة بمفتاح كهربائي، يقطع التيار  حالة انخفاض منسوب السائل. وفي الجزء العلوي من الجهاز صمام أمان للتخلص من الضغط الزائد.

والجهاز يعمل تحت ضغط 2.5 ضغط جوي ودرجة 68 - 80°م. وتستخدم هذه الوحدات معالجة المستحلبات البترولية التي تزيد نسبة الماء فيها عن 20%.

وأهم عيوب وحدات نزع الماء بالكهرباء هي:

·           انخفاض إنتاجيتها وخاصة إذا كان المستحلب يحتوي على كمية كبيرة من الماء. 

·       صعوبة المحافظة على نظام التشغيل في حالة تغير نسبة الماء في المستحلب.

ويستخدم الوعاء الكروي لنزع الماء بالكهرباء، والذي تبلغ سعته 600 م3 في الوحدات الحديثة الضخمة لنزع الأملاح بالكهرباء. وتزيد إنتاجية هذه الأجهزة كثيرًا عن إنتاجية الأجهزة السابقة. وطبقاً للمعلومات الموجودة، يستطيع الوعاء الواحد من هذا النوع من أوعية نزع الماء بالكهرباء معالجة 6000 - 6500 طن من الخام في اليوم. (اُنظر شكل الوعاء الكروي لنزع الماء).

(5) إزالة الأملاح:

تؤدي عملية إزالة استحلاب البترول في الحقول إلى تخلصه من الكتلة الأساسية من الماء والشوائب الميكانيكية، إلا أن البترول الذي أزيل استحلابه يحتوي على الأملاح في حالة معلقة. وهذه الأملاح هي أساسًا كلوريدات الصوديوم والكالسيوم والمغنسيوم وغيرها.

وقد أثبتت التجربة العملية أنه لكي يمكن تكرير البترول يجب ألا تزيد نسبة الأملاح فيه عن 50 مليجرام/ لتر، بل وأقل من ذلك، في حالة تكرير البترول مع الحصول على منتجات متبقية (الكوك البترولي مثلا). وتجري عملية نزع الأملاح للحصول على النسبة المذكورة. وتشبه عملية نزع الأملاح عملية إزالة الاستحلاب، إلا أنه في عملية نزع الأملاح يحطم المستحلب الاصطناعي الذي يتكون من البترول وماء غسيله.

ويتم نزع الأملاح من البترول في مصانع التكرير، بصورة أساسية، عن طريق غسل الأملاح بالماء العذب، ثم نزع الماء بعد ذلك من البترول. ويعالج البترول المحتوي على نسبة كبيرة من الأملاح بواسطة 10 – 15% من الماء مرتين أو ثلاث مرات.

وتجري عملية نزع الأملاح من البترول في وحدات نزع الأملاح بالكهرباء، أو في وحدات مركبة من وحدة كيميائية حرارية ووحدة نازعة للأملاح بالكهرباء. (اُنظر شكل وحدة نزع الأملاح بالكهرباء).

يتجه تياران من البترول الخام المحتوى على 2500 - 3000 مليجرام/ لتر من الأملاح وحتى 5% من الماء إلى المبادلات الحرارية، حيث يسخن الخام على حساب حرارة البترول المنزوعة منه الأملاح، ثم يدخل بعد ذلك  مسخنات حيث يتم التسخين بواسطة البخار المنصرف. ويتجه البترول الخارج من المسخن إلى مروق نزع الأملاح بالطريقة الكيميائية الحرارية. وتضاف مادة مانعة للاستحلاب إلى البترول الساخن قبل دخوله إلى المروق، ويمر كل تيار بصمام خلط لتوفير التلامس التام بين المادة المانعة للاستحلاب وبين البترول. ويدخل تيارا البترول الخارجان من مروقي نزع الأملاح بالطريقة الكيميائية الحرارية في المجمع الأول لنزع الأملاح بالكهرباء، ويدفع إلى كل من التيارين ماء قلوي مسخن إلى درجة 70 - 80°م لغسل الأملاح. يتحد البترول الخارج من المجمع في تيار واحد، ليتجه إلى المرحلة الأولى لأجهزة نزع الماء بالكهرباء، ثم إلى المرحلة الثانية. ويدفع ماء قلوي في البترول المنزوعة منه الأملاح جزئياً قبل الدخول في المرحلة الثانية لأجهزة نزع الماء بالكهرباء. ويتجه البترول ـ بعد المرحلة الثانية لنزع الأملاح بالكهرباء ـ إلى وعاء تجميع.

وقد انتشر في العالم في السنوات الأخيرة استخدام الأوعية الأفقية لنزع الماء بالكهرباء التي تعمل عند درجة 135 - 150°م وتحت ضغط يبلغ 20 - 24 كجم/ سم2. وتتميز هذه الأجهزة بإمكانية المحافظة على ضغوط ودرجات حرارة عالية، وكذلك بصغر ارتفاع الفصل؛ مما يوفر فصلاً أحسن للماء عن البترول بالمقارنة مع الأوعية الكروية لنزع الماء.