إرشادات مقترحات البحث معلومات خط الزمن الفهارس الخرائط الصور الوثائق الأقسام

مقاتل من الصحراء
Home Page / الأقســام / موضوعات علمية / الكهرباء، واللاسلكي، والإلكترونيات




منظر من الجو لطبق أريسيبو
أجهزة الرؤية والتنشين الحراري
مستشعر أرضي قصير المدى
مستشعر بعيد المدى
مستقبل لنظام تحديد المواقع
استخدام الحاسب للتوقيع
جهاز تقدير المسافة اليدوي
دبابة بالأشعة
صورة حاسب ميداني
طائرة موجهة من دون طيار
صاروخ موجهة بالأشعة دون الحمراء

. التيار والجهد في ملف حث
إمالة الهوائي لخفض الصاري
ممانعة دائرة الرنين
نهاية قمعية هرمية
هوائي متحد زاوية الطور
هوائي مركب
هوائي مزود بعاكس
هوائي الإشعال العلوي
هوائي ثنائي القطبية
هوائي حرف L
هوائي حرف T
هوائي شكل حرف V
موجة التعديل
منحنى التيار للوصلة الثنائية
منحنى التكبير
منطقة الصمت
ملف الإطالة
مثال لدائرة تعديل سعوي
نبضات دائرة المفاضل
مجالات الموجات الكهرومغنطيسية
مجزئ الجهد
إطالة الهوائي بإضافة أفرع
إطالة الهوائي بإضافة فرع
إطالة الهوائي بإضافة فرعين
مسار الموجات السماوية
أساس الإرسال والاستقبال اللاسلكي
مستنزف التيار
مذبذب مكبر ذو تغذية
مقوم موجة ذو مكثف
مقوم الموجة الكاملة
مقاومة التوازي لقياس التيار
النموذج الإشعاعي لهوائي
الهوائي متخالف زاوية الطور
الهوائي المائل
الهوائي ثنائي القطبية المزدوج
الهوائي ذو الشكل المعين
الموجات الكروية
الموجة التوافقية
الموجة الحاملة بعد التعديل
الموجة الحاملة قبل التعديل
الموجة العالية ترددياً
المنحنى الترددي للمكبر
الوصلة الثنائية
المذبذب أحادي الاستقرار
المذبذب ثنائي الاستقرار
المذبذب عديم الاستقرار
المقاومة لقياس التيار
المقياس ذو الملف المتحرك
التمثيل البياني للجهد
التوصيل الأمامي
التوصيل الأمامي للوصلة الثنائية
التوصيل المختلط
التوصيل الخلفي للوصلة الثانية
التوصيل على التوالي
التوصيل على التوازي
التيار والجهد في مكثف
التيار والجهد في مقاومة
التيار وفرق الجهد
التيار المتردد لدورة كاملة
التيار المرشح
التيار الكهربي المستحث
التيار بعد التقويم
الترددات الجانبية
التعديل النبضي
التعديل النبضي الموضعي
التغذية الرجعية
الجهد الحاجز
الجهد الحاجز في التوصيل الخلفي
الحيزات الجانبية
الرابطة التساهمية لذرة الجرمانيوم
الرسم الطوري
السلك المحوري
السلك المجدول
السلك المفرد
العمود الجاف
العلاقة بين الجهد والمحور
الفيض المغناطيسي لملف لولبي
الفيض المغناطيسي لحلقة
الفيض المغناطيسي لسلك
استنتاج علاقة الممانعة والتردد
بلورة القاعدة
تأثير الانعكاس على الهوائي
تأثير انحناء سطح الأرض
تأثير سطح الأرض
تأثر الاتصال بارتفاع الهوائيات
توصيل أربعة مصابيح
توصيل مصباح بسلك
تنفيذ الدائرة المتكاملة بالترانزيستور
تجميع الشعاع الإلكتروني
تجربة نقطة الزيت لميلكان
تجربة قياس الشحنة النوعية
تدريج مقياس المقاومة
ترسيب ترانزيستور
تطبيق نورتون الخطوة الثانية
تطبيق ميلمان الخطوة الأولى
تطبيق ميلمان الخطوة الثانية
تطبيق سفنن المرحلة الأخيرة
تطبيق سفنن الخطوة الأولى
تطبيق سفنن الخطوة الثانية
تغذية الترانزيستور N P N
جهد المسح
جهد المصدر والجهد المستحث
خلية فولتايك
دائرة لتقويم التيار المتردد
دائرة مذبذب
دائرة مذبذب عديم الاستقرار
دائرة المكامل
دائرة القطع
دائرة توضح قانون أوم
دائرة تحليل الدوائر الكهربية
دائرة تكبير باستخدام ترانزيستور
خرج مقوم الموجة الكاملة
حركة الإلكترون
خطوط الفيض المغناطيسي
خطوط عمل المجال المغناطيسي
رمز الوصلة الثنائية
رمز الترانزيستور N P N
رمز الترانزيستور P N P
رسم موجه جيبية
صمام أشعة المهبط
صورة الكهربية لسلك أفقي
صورة الكهربية لسلك رأسي
شبه موصل موجب
شبه موصل سالب
طبقات الأيونوسفير
زيادة مسافة الاتصال
شدة التيار وفرق الجهد
طريقة تنفيذ دائرة متكاملة
كود ترقيم المقاومات
كسر الرابطة التساهمية
علاقة قانون أوم
عمق التعديل السعوي
ظاهرة الاضمحلال
عاكس قطع مكافئ
فارق زاوية الطور
ذرة النحاس
ذرة الهيدروجين
ذرة الكربون
قواعد جبر المتجهات
قانون نورتون الخطوة الأولى
قياس مستويات التيار
قياس مستويات جهد مختلفة
قياس المقاومة
قياس فرق الجهد
قطار النبضات




مقدمة

الفصل الأول

الكهرباء

الكهرباء قوة غير مرئية، يمكنها إنتاج حرارة، وضوء، وحركة، تجاذب أو تنافر، إضافة إلى العديد من التأثيرات الطبيعية الأخرى، ويمكن تفسير معظم الظواهر المرتبطة بالكهرباء، باستخدام مدلولات الشحنة الكهربية، والتيار والجهد، والوحدات الكهربية المرتبطة بها، وهي على الترتيب الكولوم، والأمبير، والفولت.

أولاً: القطبية والشحنات

1. القطبية الموجبة والقطبية السالبة

تشاهد التأثيرات الكهربية في كل من البرق، والبطارية، واللاسلكي، والتليفزيون، وفي العديد من التطبيقات الأخرى، والقاسم المشترك بين هذه التطبيقات، وأي تطبيقات كهربية أخرى، هو الجسيمات ذات الشحنات المتخالفة، حيث إن جميع المواد التي نعرفها، سواء أكانت جوامد، أم سوائل، أم غازات، تحتوي على الجسيمات المشحونة، (الإلكترون ذو الشحنة السالبة، والبروتون ذو الشحنة الموجبة).

يمتلك الإلكترون أصغر شحنة كهربية سالبة، ويمتلك البروتون الشحنة نفسها، ولكنها موجبة؛ وترتيب هذه الجسيمات في ذرات العناصر والمواد، هو الذي يحدد خواصها الكهربية، فالمواد التي لا تظهر عليها خواص كهربية واضحة، تتساوى فيها أعداد الجسيمات ذات الشحنات الموجبة، وتلك ذات الشحنات السالبة، مما يؤدي إلى تساوي القوى المتضادة وتلاشي تأثيرها.

وللحصول على تأثير كهربي، يجب بذل شغل لفصل الإلكترونات والبروتونات عن موضعها، وترتيبها الطبيعي، في ذرة المادة، لتغيير توازن القوى الموجودة، ويظهر التأثير الكهربي للمادة عند توصيل بطارية بين طرفي دائرة كهربية، حيث تقوم الطاقة الكيميائية المختزنة في البطارية، ببذل شغل لفصل الشحنات الكهربية، وإنتاج زيادة في عدد الإلكترونات عند طرفها السالب، وزيادة في عدد البروتونات عند طرفها الموجب، وبذلك يمكن دفع تيار كهربي في الدائرة.

2. الإلكترون والبروتون في تركيب الذرة

تحدد الإلكترونات والبروتونات الخواص المميزة للمادة؛ (أُنظر شكل ذرة الهيدروجين) يوضح مكونات ذرة الهيدروجين، التي تتكون من كتلة مركزية، يطلق عليها "نواة الذرة"، وإلكترون وحيد يدور حولها في مدار خارجي. يوجد البروتون والشحنة الموجبة في مركز الذرة، ليكونا مركز الاستقرار لها، حيث إن كتلته تساوي 1840 مرة كتلة الإلكترون.

يمكن تخيل حركة الإلكترون حول النواة في ذرة الهيدروجين، مثل حركة أي كوكب حول الشمس، حيث تتعادل قوة الجذب بين الإلكترون السالب، والبروتون الموجب، مع القوة الميكانيكية الطاردة، الناتجة من دوران الإلكترون - القوة الطاردة المركزية؛ نتيجة لهذا التعادل يحتفظ الإلكترون بمدار ثابت حول النواة؛ في الذرات التي تحتوي على أكثر من إلكترون مثل ذرة الكربون، (أُنظر شكل ذرة الكربون)، وذرة النحاس، (أُنظر شكل ذرة النحاس). تتوزع الإلكترونات على أكثر من مدار، بينما تتجمع كل البروتونات في النواة، وفي الذرات المتعادلة، المستقرة، يجب أن يتساوى عدد الإلكترونات الدائرة في مدارات حول النواة، وعدد البروتونات المجتمعة فيها.

توزيع عدد الإلكترونات على مدارات حول النواة، خاصة تلك الإلكترونات الموجودة في المدار الأبعد عنها، (المدار الخارجي)، يحدد إلى حد بعيد الخواص الكهربية لهذه الذرة. وأي مدار خارجي، عدا المدار الأول، يتشبع بعدد 8 إلكترونات، بينما يتشبع المدار الأول بإلكترونين فقط، ففي ذرة الكربون، تقع أربعة إلكترونات في المدار الخارجي، وفي ذرة النحاس يوجد إلكترون وحيد في المدار الخارجي، وبمقارنة الذرتين، يتضح أن ذرة الكربون أكثر استقراراً من ذرة النحاس. وعندما يتجاور العديد من ذرات النحاس في سلك من النحاس، فإن الإلكترون الخارجي في كل ذرة، يمكنه الانتقال من ذرة إلى أخرى، ويطلق على هذا الإلكترون في هذه الحالة، "الإلكترون الحر". وهذه الإلكترونات الحرة هي المسؤولة عن جودة توصيل النحاس للتيار الكهربي.

3. المواد الموصلة والعازلة وشبه الموصلة

المواد الموصلة، هي تلك المواد التي تسمح بسهولة بانتقال إلكترون من ذرة إلى أخرى، وبصفة عامة، تُعد معظم المعادن، مثل النحاس والفضة، مواد جيدة التوصيل؛ أما المواد التي تميل ذراتها، إلى الاحتفاظ بالإلكترونات مستقرة في مداراتها، فيطلق عليها المواد العازلة، وهي مواد لا تسمح بتوصيل التيار الكهربي بسهولة؛ من مثل هذه المواد، الزجاج والبلاستيك والمطاط والمايكا. ولبعض المواد خواص توصيل متوسطة، فهي ليست موصل كامل، أو عازل كامل، وهي تجمع إلى حد ما، بين خواص الفئتين؛ هذه المواد يطلق عليها المواد شبه الموصلة Semi Conductor، مثل عناصر الجرمانيوم والسليكون؛ وقد أصبح لهذه المواد الآن قدر كبير من الأهمية في عملية إنتاج الترانزيستور، والدوائر الإلكترونية المتكاملة Integrated circuits .

4. الشحنات الكهربية

لا يمكن تعريف الشحنة الكهربية، ولكن يمكن وصف خواصها، وتوضيح سلوكها، ومما لا شك فيه أن الشحنات الكهربية، هي من المواصفات الأساسية للجزيئات، التي تتكون منها جميع العناصر والمواد، وأن التفاعلات المتبادلة، بين ذرات atoms وجزيئات molecules المواد، هي بصفة أساسية تفاعلات كهربية بين جسيمات مشحونة كهربياً.

يمكن شرح البناء التركيبي، لأي مادة طبيعية، باستخدام ثلاثة أنواع من الجسيمات:

أ. الإلكترون ذو الشحنة السالبة.

ب. البروتون ذو الشحنة الموجبة.

ج. النيوترون ذو الشحنة المتعادلة.

تكوّن البروتونات والنيوترونات الموجودة في أي ذرة، قلباً ذا كثافة عالية، وحجماً صغيراً جداً، لا تزيد أبعاده على جزء من ألف مليون مليون جزء من المتر 10-15 متر، بينما تدور الإلكترونات حول تلك النواة، وعلى مسافة تبعد عنها، بجزء من ألف مليون جزء من المتر 10 -9 متر، وهذا يعني أن المسافة التي تفصل بين الإلكترون والنواة تساوي مليون مرة قطر النواة، إذا كان قطر النواة 1سم، حجم قطعة النقود المعدنية الصغيرة، فإن الإلكترون يبعد عنها مسافة 10كم.

مقدار شحنة الإلكترون السالبة، يساوي تماماً، مقدار الشحنة الموجبة للبروتون، وفي الحالة الطبيعية، يكون عدد الإلكترونات حول الذرة، مساوياً تماماً عدد البروتونات الموجودة في النواة، وصافي الشحنة الكهربية للذرة يساوي صفراً؛ يطلق على عدد البروتونات والإلكترونات الموجودة في الذرة، مصطلح الرقم الذرى ATOMIC NUMBER لهذا العنصر، وإذا تم فصل إلكترون أو أكثر من الذرة المتعادلة، تظهر على الجزء الباقي شحنة موجبة، تساوى شحنة الإلكترونات السالبة التي تم فصلها، ويطلق على الذرة في هذه الحالة لفظ أيون موجب POSITIVE ION؛ أما الأيون السالب، فهو ذرة متعادلة، اكتسبت عدداً من الإلكترونات الإضافية، فظهرت عليها شحنة صافية سالبة. وكتلة البروتون وكتلة النيوترون متساويتان، وكل منهما تساوي تقريباً ألفي مرة كتلة الإلكترون، أي أن نسبة 99% من كتلة الذرة توجد في نواتها.

تجدر الإشارة هنا إلى مبدأين طبيعيين حاكمين هما:

أ. مبدأ بقاء الشحنة الكهربية CONSERVATION of CHARGE: هذا المبدأ ينص على أن المجموع الجبري للشحنات الكهربية، في أي نظام مغلق CLOSED SYSTEM[1]، رقم ثابت؛ هذا المبدأ يعنى أن الشحنات الكهربية يمكن نقلها من جسم إلى آخر، ولكن لا يمكن خلقها، كما لا يمكن تدميرها، ولا يوجد علمياً، حتى الآن أية شواهد تفيد خطأ هذا المبدأ.

ب. إن أي شحنة كهربية، أمكن ملاحظتها أو قياسها حتى الآن، تساوي قيمتها عدداً صحيحاً من مضاعفات شحنة الإلكترون أو البروتون. وفي قول آخر، إنه لم يكتشف حتى الآن أي جسيم، له شحنة تقل عن شحنة الإلكترون أو البروتون. ويتم التعبير عن الشحنات الكهربية، بوحدة كهربية خاصة يطلق عليها "الكولوم"[2]، نسبة إلى العالم الشهير شارلز أوجستين كولوم C. O. Coulomb 1736-1806، الذي درس، طبيعة القوة المتبادلة، بين الجسيمات المشحونة، كما أن اسمه، يطلق على أحد أهم القوانين الطبيعية، التي مهدت الطريق، للعديد من العلماء اللاحقين، لوضع أساس الحضارة الكهربية، والتقدم التكنولوجي، الذي يعيشه العالم الآن.

5. سلوك الشحنات الكهربية

إذا حدث احتكاك بين جسم من المطاط، وقطعة من الورق، يلاحظ أن الجسم المطاطي يجذب طرف الورقة، بما يفيد بوجود قوة تجاذب، بين الجسم المطاطي وطرف الورقة، حيث إن الشغل الميكانيكي، MECHANICAL WORK، المبذول في عملية الاحتكاك، وفّر الطاقة اللازمة لفصل بعض الإلكترونات، في قطعة المطاط، وبعض البروتونات في الورقة، وبما أن المادتين من المواد العازلة، فإن الإلكترونات والبروتونات التي انفصلت، تظل متجمعة في منطقة الاحتكاك، ولا يمكنها الانتقال خلال المادة؛ هذه الشحنات المجمعة السالبة والموجبة، هي المسؤولة عن القوة التي ظهرت، وسببت جذب المطاط لطرف الورقة، ويطلق على هذه الشحنات المنفصلة، الشحنات الساكنة STATIC CHARGES؛ تلك القوى التي ظهرت بين قطعة المطاط والورقة، هي إحدى الصور الأولية، التي تعبّر بها الكهرباء عن وجودها.

استخدم العلماء مصطلح "الشحنة السالبة"، للتعبير عن طبيعة الشحنة الكهربية، التي تتكون على المطاط، والمواد الراتنجية بصفة عامة، ومصطلح "الشحنة الموجبة" للتعبير عن طبيعة الشحنة الكهربية، التي تتكون على الزجاج، والمواد الزجاجية بصفة عامة؛ بناء على هذا التقسيم، تصبح شحنة الإلكترون شحنة سالبة؛ لأنها تطابق الشحنة التي تتكون على المطاط، وتصبح شحنة البروتون شحنة موجبة لتطابقها مع الشحنة المتكونة على الزجاج، تتفاعل الشحنات الكهربية كالآتي:

أ. الشحنات[3] ذات الطبيعة المختلفة تتجاذب:

إذا اقترب جسيمان مشحونان بشحنات ذات طبيعة مختلفة، وكانت للجسيمان حرية الحركة، فإن كلاً منهما يجذب الآخر، وإذا كان أحد الجسيمين بروتوناً، والآخر إلكتروناً، فإن البروتون هو الذي يجذب إليه الإلكترون، عند اقترابهما؛ لأن كتلة البروتون أكبر بكثير من كتلة الإلكترون.

ب. الشحنات ذات الطبيعة المتماثلة تتنافر:

أي أن شحنتين موجبتين، أو شحنتين سالبتين، إذا اقتربتا لمسافة معينة، تظهر بينهما قوى ميكانيكية، تعمل على دفع الشحنة ذات الكتلة الأقل، بعيداً عن الشحنة ذات الكتلة الأكبر.

ثانياً: الجهد والمقاومة

1. الجهد الكهربي

يعرف الجهد الكهربي،ELECTRICAL POTENTIAL ، بأنه المقدرة على بذل الشغل؛ فأي شحنة كهربية، تمتلك جهداً كهربياً، يسمح لها ببذل شغل يكفي لتحريك شحنة أخرى، سواء كان ذلك تجاذباً أو تنافراً. ويطلق على هذه المقدرة، مصطلح الجهد؛ لأنه لفصل الإلكترونات عن الذرات المتعادلة، يجب بذل شغل، وهذا الشغل يختزن في صورة جهد، يعمل على عدم ارتداد الإلكترونات مرة أخرى، وانجذابها إلى البروتونات الموجبة، للعودة إلى الحالة المتعادلة، وفي هذه الحالة يمكن القول: إن للإلكترونات أو البروتونات جهداً معيناً، وهي مستعدة لتتخلى عن هذا الجهد في صورة شغل، مساوٍ للشغل الذي بذل لإنتاج تلك الشحنات.

الحالة الوحيدة التي لا يوجد فيها فرق جهد بين الشحنات الكهربية، هي الحالة التي تكون فيها تلك الشحنات من النوع نفسه، أي لها القطبية نفسها، ولها المقدار نفسه، وفي هذه الحالة تتعادل قوى الجذب، والتنافر، الواقعة على الإلكترونات، ولا يحتاج الأمر إلى بذل أي شغل لتحريك تلك الإلكترونات بين الشحنتين.

بصفة أكثر دقة يمكن القول، إنه لتحريك شحنة مفردة موجبة، من النقطة، a إلى النقطة b، يلزم بذل شغل على هذه الشحنة المفردة، ومقدار هذا الشغل، هو نفسه فرق الجهد الكهربي بين النقطتين a وb؛ يرمز لفرق الجهد في هذه الحالة بالرمز Vab

     Vab = Va - Vb

ويعبر عن الجهد الكهربي، من الناحية الكمية، باستخدام وحدة قياس كهربية، يطلق عليه اسم "فولت" VOLT، تخليداً لاسم العالم الشهير الكسندرو فولتا ALEXANDRO VOLTA 1745- 1827. يعبر الفولت عن مقدار الشغل اللازم لتحريك شحنة، قيمتها كولوم واحد، بين نقطتين، ويصبح فرق الجهد بينهما 1 فولت، وعند القول: إن جهد بطارية يساوي 6 فولت، فإن ذلك يعني أن فرق الجهد بين قطبي تلك البطارية يساوي 6 فولت، ويستخدم، أيضاً، للتعبير عن فرق جهد البطارية، مصطلح "القوة الدافعة الكهربية" "ق.د.ك."Electromotive force ، ولقياس فرق الجهد، بين أي نقطتين في دائرة كهربية، يستخدم جهاز الفولت متر.

2. التيار الكهربي

عندما يسبب فرق الجهد الكهربي بين شحنتين، حركة شحنة ثالثة، فإنه يطلق على الشحنة المتحركة اسم "التيار الكهربي"، أي أن التيار الكهربي هو سيل من الشحنات الكهربية المتحركة، نتيجة لوجود فرق جهد محدد بين نقطتين؛ في المواد الصلبة، مثل سلك من النحاس. أما الإلكترونات الحرة، فهي شحنات يمكن دفعها للتحرك بسهولة نسبية، حيث إن هذه الشحنات ترتبط ارتباطاً ضعيفاً بذرات النحاس، ولا تحتاج لبذل مقدار كبير من الشغل لتحريكها. وإذا طبقنا فرقاً للجهد الكهربي فإن توصيل بطارية بين طرفي سلك النحاس، سيدفع الإلكترونات الحرة إلى حركة انتقالية، تكون نتيجتها، انتقال الإلكترونات من الطرف ذي الجهد السالب، إلى الطرف ذي الجهد الموجب، خلال سلك النحاس، مسببة تياراً من الإلكترونات، وهو ما يطلق عليه "التيار الكهربي". وتتم حركة الإلكترونات هذه، داخل سلك النحاس بسرعة تساوي سرعة انتشار الضوء - 186 ألف ميل في الثانية الواحدة، ونتيجة لهذه السرعة الكبيرة جداً، لا تلاحظ أي فواصل زمنية عند تشغيل الأجهزة الكهربية.

يعتمد عدد الإلكترونات الحرة، التي يمكن دفعها للانتقال خلال السلك، لإنتاج شحنات متحركة، على فرق الجهد الكهربي بين طرفي السلك، وبزيادة فرق الجهد يزداد عدد الإلكترونات الحرة المنتقلة؛ هذا العدد المتزايد من الشحنات المتحركة يعبر عن تيار كهربي ذي قيمة متزايدة. وبانخفاض فرق الجهد الكهربي ينخفض التيار المندفع خلال السلك، فإذا وصل فرق الجهد إلى الصفر يتوقف تماماً سريان التيار الكهربي بين طرفي السلك، ونخلص من ذلك إلى النتيجة التالية:

لسريان تيار كهربي في موصل يجب توصيل طرفي الموصل إلى نقطتين يوجد بينهما فرق جهد كهربي.

وللتعبير عن كمية التيار الكهربي، تستخدم وحدة قياس كهربية يطلق عليها اسم "أمبير"، تخليداً للعالم الفرنسي الشهير أندريه أمبير Andre Ampere 1775-1836، وهي وحدة تعبر عن المعدل الزمني، لتدفق الشحنات الكهربية، عبر موصل ما؛ يمثل الأمبير تدفق شحنات مقدارها كولوم واحد، خلال فترة زمنية، تقدر بثانية واحدة، ويرمز لشدة التيار بالرمز I.

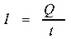
الفرق بين الشحنة الكهربية والتيار الكهربي، أن الشحنة الكهربية، هي كمية من الكهرباء تتراكم في جسم عازل، وهي ساكنة لا تتحرك، فإذا تحركت نتج عنها تيار كهربي، يعبر عن شدته بالعلاقة التالية:

حيث I هو شدة التيار الكهربي مقاساً بالأمبير، و Q مقدار الشحنة الكهربية، مقاساً بالكولوم، وt زمن مرور الشحنة Q مقاساً بالثانية. هذا التعريف لا يختلف سواء كانت الشحنة Q سالبة، الإلكترونات الحرة في حالة سلك النحاس، أو موجبة، انتقال البروتونات في حالة السوائل أو الغازات أو شبه الموصلات، ولكن يختلف فقط اتجاه سريان التيار الكهربي، وتظل قيمته معرفة بالعلاقة نفسها.

3. المقاومة

عند تطبيق جهد كهربي ثابت، على أطراف أسلاك من مواد مختلفة بأطوال متساوية، يتضح أن التيار الكهربي يختلف من سلك لآخر، وهذا يرجع إلى تكوين ذرات المادة المصنع منها كل سلك؛ يطلق على خاصية المادة، التي تحدد شدة التيار الكهربي المار في السلك، تحت تأثير فرق جهد ثابت اسم "مقاومة الموصل"، وهذه المقاومة، هي التي يقوم الجهد الكهربي ببذل الشغل اللازم للتغلب عليها.

وللتعبير عن مقاومة مرور التيار الكهربي، تستخدم وحدة قياس كهربية يطلق عليها اسم "أوم"، تخليداً للعالم G. S. Ohm 1787-1854، وهي مقاومة سلك، تمر خلاله شدة تيار قيمته أمبير واحد. أما إذا ما طبق على طرفيه فرق جهد يساوى فولت واحد، فمقاومة سلك من النحاس، طوله قدم واحد، هي 0.01 أوم، بينما تصل مقاومة فتيل المصباح المصنع من مادة التنجستين، إلى 144 أوم.

وللتعبير عن قيمة المقاومة الكهربية يستخدم الرمز R، بينما يستخدم الرمز G للتعبير عن درجة سماح الموصل لمرور التيار الكهربي من خلاله؛ ولقياس درجة السماح تستخدم وحدة قياس يطلق عليها "موه" Mho.

4. مصادر الحصول على الكهرباء

توجد الإلكترونات والبروتونات في ذرات جميع المواد. وللتغلب على مقاومة المواد يلزم بذل شغل، وإحداث فرق جهد، يسمح بمرور تيار كهربي. وفيما يلي ذكر لبعض الطرق والوسائل للحصول على شواهد كهربية:

أ. الحصول على كهربية ساكنة بالاحتكاك، وفي هذه الطريقة، يتم فصل الإلكترونات، والبروتونات، من ذراتها في مادة عازلة، ببذل شغل ناتج من الاحتكاك؛ فتظل تلك الشحنات المتعاكسة، ساكنة داخل المادة العازلة.

ب. تحويل الطاقة الكيميائية، إلى طاقة كهربية، ويتمثل هذا التطبيق في البطاريات، أو الأعمدة الجافة، والمراكم، حيث يستخدم التفاعل الكيميائي في إنتاج الشحنات المتعاكسة.

ج. تحويل الطاقة المغناطيسية إلى طاقة كهربية، ويتمثل هذا التطبيق، في المولد الكهربي، الذي ينتج التيار الكهربي، من دوران موصل بين أقطاب مغناطيس قوي، حركة موصل في مجال مغناطيسي.

د. تحويل الطاقة الضوئية إلى طاقة كهربية، ويتمثل هذا التطبيق، في استغلال خاصية بعض المواد، في إنتاج الإلكترونات الحرة، عند تعرضها للضوء، حيث إن مادة مثل السلينيوم، تتغير مقاومتها للتيار الكهربي، طبقاً لدرجة تعرضها للضوء.

هـ. تحويل الطاقة الحرارية، إلى طاقة كهربية، باستغلال الانبعاث الحراري، فعند تسخين بعض المواد، مثل فتيل شاشة التليفزيون، تنطلق منه الإلكترونات الحرة، فتكوّن تياراً كهربياً.

5. قانون أوم

الكهرباء موجودة في كل المواد، في صورة إلكترونات وبروتونات؛ والإلكترون هو الكمية الأساسية للكهربية السالبة، أما البروتون فهو الكمية الأساسية للكهربية الموجبة، وكلاهما يحمل المقدار نفسه من الشحنة، ولكن بقطبية مختلفة؛ فالشحنات متحدة القطبية تتنافر، بينما تتجاذب تلك التي لها قطبية متخالفة، ويلاحظ أن كتلة البروتون تساوي تقريباً ألفي مرة كتلة الإلكترون، وعند التجاذب يميل الإلكترون إلى التحرك نحو البروتون، مكوناً تياراً إلكترونياً. والرقم الذري لأي عنصر يعبر عن عدد البروتونات الموجودة في النواة، التي يعادلها عدد مساوٍ من الإلكترونات، في مدارات حول النواة. والإلكترونات الموجودة في المدار الخارجي، هي التي تحدد الخواص الكهربية للعنصر. أما الدائرة الكهربية فهي مسار مغلق، يمكن أن تندفع خلاله الإلكترونات، ولدفع التيار الكهربي خلال الدائرة يجب تطبيق فرق جهد كهربي بين طرفيها.

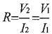
في عام 1828، اكتشف العالم الطبيعي، جورج سايمون أوم G. S. Ohm ، عن طريق التجربة، أن هناك علاقة تناسب طردي بين الجهد، المطبق على طرفي دائرة كهربية، والتيار المندفع خلالها، نتيجة لهذا الجهد، وأطلق اسم هذا العالم، على العلاقة الكهربية الشهيرة، التي تحدد هذه العلاقة، وهي: V = I R حيث V ترمز للجهد المطبق على طرفي الدائرة، وI إلى التيار الكهربي الساري في الدائرة، وR إلى المقاومة الكلية لهذه الدائرة.

تتكون الدائرة الكهربية، (أُنظر شكل دائرة توضح قانون أوم)، من العداد A لقياس شدة التيار المار بالمقاومة R، وبطارية لتطبيق فرق جهد V بين طرفيها؛ بتغيير فرق الجهد، يتغير معه التيار، بحيث تظل العلاقة: V = I R صحيحة، لأي قيمة من قيم V و I المناظرة لها.

النسبة بين V وI هي نسبة خطية مباشرة، (أُنظر شكل علاقة قانون أوم)، يوضح العلاقة بي قيم V المختلفة، وقيم I المناظرة لها، وهي عبارة عن خط مستقيم؛ وهذا يعنى أن عند الجهد V1 نحصل على التيار I1، وعند الجهد V2 نحصل على التيار 2 I، وتتحقق دائماً العلاقة:

ويلاحظ، أن التيار المار بالدائرة يتوقف عندما يكون فرق الجهد يساوى صفراً، وعندما يعبر عن الجهد الكهربي بالفولت، والمقاومة بالأم، ويعبر عن شدة التيار بالأمبير




[1] النظام المغلق، هو تصور نظري لأي جسم، أو مجموعة من الأجسام، منعزلة تماماً عن باقي الكون، ولا يوجد بينه، وبين أي جسم أو نظام آخر في الكون، أي نوع من الاتصال، أو التفاعل.

[2] شحنة الإلكترون تساوي = 1.602  10 -19 كولوم.

[3] الشحنات الكهربية: إما أن تكون ذات قطبية موجبة، أو ذات قطبية سالبة، ويرمز لها بالرمز Q+ أو Q- وتعد الشحنة التي تساوي صفراً شحنة متعادلة.

[4] الميكرو أمبير وحدة قياس لشدة التيار الكهربي تساوي 10-6 أمبير.

[5] المللي أمبير وحدة لقياس شدة التيار تساوي 10-3 أمبير.

[6] للمقاومات التي تقل قيمتها عن 10 أوم، يمكن أن تأخذ الشريحة `ج` لونين إضافيين، هما اللون الفضي، وهذا يعني قسمة القيمة الموضحة على 10، واللون الذهبي، وهذا يعني قسمة القيمة على 100.

[7] تيار شدته من 50 إلى 200 أمبير في الساعة، يعد قيمة معتادة للبطاريات الحمضية.